Cabecera

Diseño de experimentos y análisis de la varianza
Diseño unifactorial

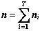
El diseño unifactorial se utiliza cuando ciertas observaciones sufren la influencia de cierto factor a, el cual se puede presentar en T niveles diferentes, de forma que para cada uno de ellos se realizan muestras independientes de tamaño ni, con i= 1, 2, ..., T, siendo

el tamaño muestral total.

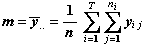
Los datos se presentan en la forma

siendo yij la j-ésima observación realizada bajo el i-ésimo nivel del factor.

El modelo que se ajusta es

yi j = ai + ui j,
siendo ai los coeficientes asociados a sus respectivos niveles y ui j los errores aleatorios independientes, distribuidos normalmente, con media nula y varianza común .

El modelo propuesto incorpora ciertos parámetros que es necesario estimar:

  • Los coeficientes ai, medias asociadas a los diferentes niveles, cuyos estimadores son de la forma
  • La varianza común , cuyo estimador insesgado es la varianza residual:

A la vista de los datos, es importante estudiar si los T niveles son todos ellos equivalentes o, al contrario, existen diferencias entre ellos. Formalmente, esto se reduce a contrastar la hipótesis nula:

H0: "el factor no actúa sobre la variable respuesta: ai= 0, para todo i"
frente a la alternativa:
H1: "el factor actúa sobre la respuesta: algunos ai no se anulan".
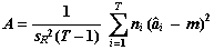
Definiendo
el estadístico para este contraste es
que se distribuye según una FT-1, n-T de Snedecor. El contraste se realiza con un nivel de significación del 5%.


Caso

En un tratamiento contra la hipertensión se seleccionaron 40 enfermos de características similares. A cada enfermo se le administró uno de los fármacos P, A, B, AB, al azar, formando 4 grupos de 10. El grupo P tomó placebo (fármaco inocuo), el grupo A tomó un fármaco "A", el grupo B un fármaco "B" y el grupo AB una asociación entre "A" y "B". Para valorar la eficacia de los tratamientos, se registró el descenso de la presión diastólica desde el estado basal (inicio del tratamiento) hasta el estado al cabo de una semana de tratamiento. Los resultados, después de registrarse algunos abandonos, fueron los siguientes:

P: 10, 0, 15, -20, 0, 15, -5
A: 20, 25, 33, 25, 30, 18, 27, 0, 35, 20
B: 15, 10, 25, 30, 15, 35, 25, 22, 11, 25
AB: 10, 5, -5, 15, 20, 20, 0, 10

Interesa saber si existen diferencias significativas entre los cuatro tratamientos.

Sin más que observar las medias de los tratamientos, (2.1, 23.3, 21.3 y 9.4), ya se aprecia la no equivalencia entre ellos; esta impresión se ratifica objetivamente al observar que el valor del estadístico de contraste A alcanza un valor de 8.526169, cantidad suficientemente grande como para rechazar la hipótesis nula de igualdad de medias con un nivel de significación del 5%.

(Fuente: C. M. Cuadras. Problemas de Probabilidades y Estadística. PPU, Barcelona.)

Manual de las applets de BioMates
Hay problemas en la carga del applet.


© BioMates, 2000-2001